十部门联合发布《低空经济标准体系建设指南》

图片来源于网络,如有侵权,请联系删除
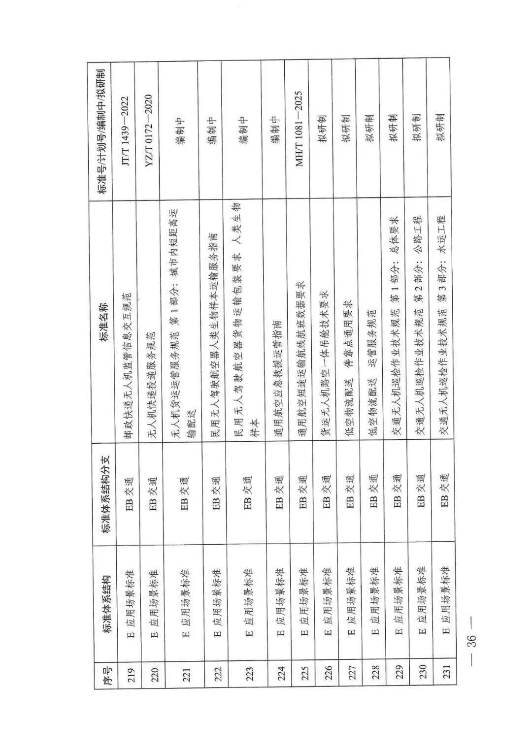
近期,市场监管总局会同中央空管办、国家发展改革委等十部门发布《低空经济标准体系建设指南(2025年版)》(以下简称《指南》),明确到2027年基本建立低空经济标准体系,2030年形成超过300项国际兼容标准,为低空经济安全健康发展提供有力支撑。《指南》将无线电管理列为安全监管领域的独立章节,明确了其在保障低空经济高质量发展中的重要作用。
无人机的飞控指令传输、低空智能网联系统的信号交互、北斗高精度导航的定位数据接收、低空飞行服务系统的信息传递、交通物流无人机的调度运行、应急救援航空器与地面的信息衔接等环节,均离不开无线电频谱资源使用。《指南》指出,安全监管标准包括无线电管理、人员管理、运营与应急管理、事故调查与救援以及其他标准,是低空经济活动安全有序发展的重要前提。其中,无线电管理标准包括频谱资源配置、电磁环境安全、电磁干扰与防御以及其他标准。无线电管理标准通过明确频谱资源配置规则、规范电磁环境安全要求、建立电磁干扰防御机制,能够有效提升无线电频谱资源使用效益,保障上述关键环节的稳定运行,防范化解电磁安全风险,为低空经济安全发展注入新动力。(记者 张金然)
【责任编辑:朱家齐】目录 返回
首页
